Ответы
Ответ дал:
1
Ответ:
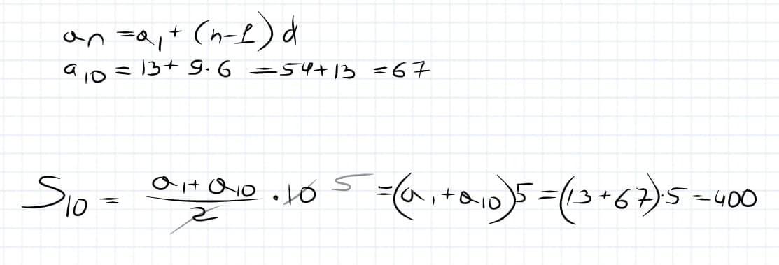
Г
Пошаговое объяснение:
Приложения:

vaniaodokiy:
спасибо
Вас заинтересует
2 года назад
2 года назад
2 года назад
8 лет назад
8 лет назад