• Предмет: Математика
  • Автор: mariabrо
  • Вопрос задан 3 года назад

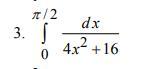
Знайти визначений інтеграл

Приложения:

Ответы

Ответ дал: Miroslava227
1

Ответ:

\int\limits^{  \frac{\pi}{2} } _ {0} \frac{dx}{4 {x}^{2} + 16 } =   \frac{1}{4} \int\limits^{  \frac{\pi}{2} } _ {0} \frac{dx}{ {x}^{2}  +  16 } =  \\  =  \frac{1}{4} \int\limits^{  \frac{ \pi}{2} } _ {0} \frac{d(2x)}{ {x}^{2} +  {2}^{2}  }  =  \frac{1}{4 \times 2} arctg( \frac{x}{2} ) | ^{ \frac{\pi}{2} } _ {0} =  \\  =  \frac{1}{8}( arctg( \frac{\pi}{4} ) - arctg(0)) =  \\  =  \frac{1}{8}  \times 1 =  \frac{1}{8}


DASASAD: мне помогите пожалуйста
Вас заинтересует