• Предмет: Химия
  • Автор: Muxxle47
  • Вопрос задан 3 года назад

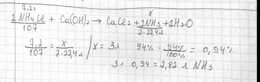
Вычислите объем аммиака (н.у.), который можно получить, нагревая 7.2 г хлорида аммония с избытком гидроксида кальция, приняв, что объемная доля выхода аммиака составляет 94%.

Ответы

Ответ дал: Zikriolloh
0

Ответ:

2.82л NH3

-------------------/

Приложения:

Muxxle47: у меня такой же ответ выходил
Muxxle47: но это не правильно
Zikriolloh: сколько должен бит ответ
Muxxle47: там варианты ответа: 1) 2,17 2) 2,4 3) 2,15 4) 1,7
Zikriolloh: всё правильно думаю варианты неправильные
Zikriolloh: отмет как лучший ответ
Muxxle47: не могу, надо подождать
Muxxle47: ты не знаешь другого ответа?
Zikriolloh: тогда лайк
Zikriolloh: нет не знаю
Вас заинтересует