• Предмет: Алгебра
  • Автор: shishkovalentina54
  • Вопрос задан 3 года назад

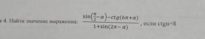
помогите пожалуйста сделаю ответ лучшим​

Приложения:

Ответы

Ответ дал: DilmurodKhasanov
1

Объяснение:

\frac{sin(\frac{\pi}{2}-a)-ctg(6\pi+a)}{1+sin(2\pi-a)}=\frac{cosa-ctga}{1-sina}=\frac{cosa-\frac{cosa}{sina}}{1-sina}=\frac{\frac{sina*cosa-cosa}{sina}}{1-sina}=\frac{ctga*(sina-1)}{1-sina}=-ctga

Ответ: -8


DilmurodKhasanov: Если что-то не понятно спросите
Вас заинтересует