• Предмет: Алгебра
  • Автор: leonovakamilla7
  • Вопрос задан 3 года назад

СРОЧНО
Решите пж
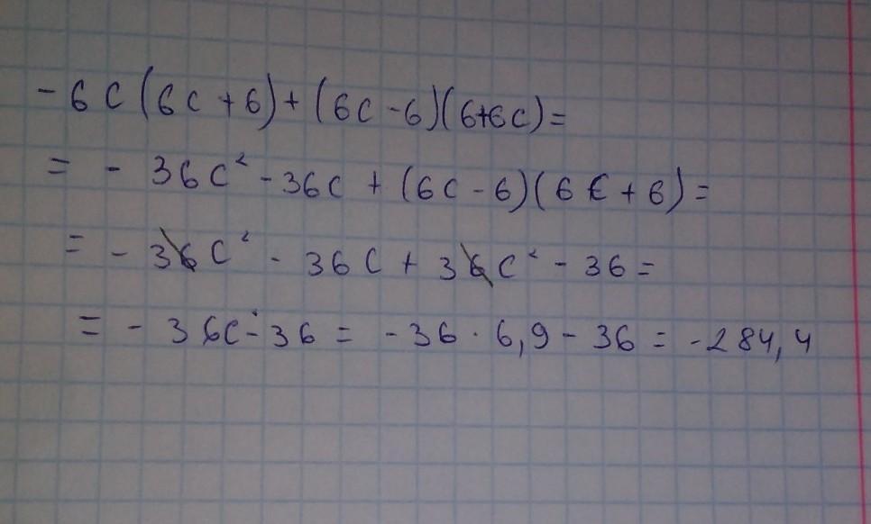
Упрости выражение и найди его значение при c=6,9.

−6c(6c+6)+(6c−6)(6+6c)​

Ответы

Ответ дал: gasmin49
2

Ответ:

вроде бы правильно ))))))

Приложения:
Ответ дал: arturbertash88
1

Ответ:

288.4

Объяснение:

−6c(6c+6)+(6c−6)(6+6c)=(6c+6)*(-6c+6c-6)=(6c+6)*(-6)=-36c-36

если c=6.9 то -36c-36=-284.4

Вас заинтересует