60 баллов. Алгебра. Срочно))
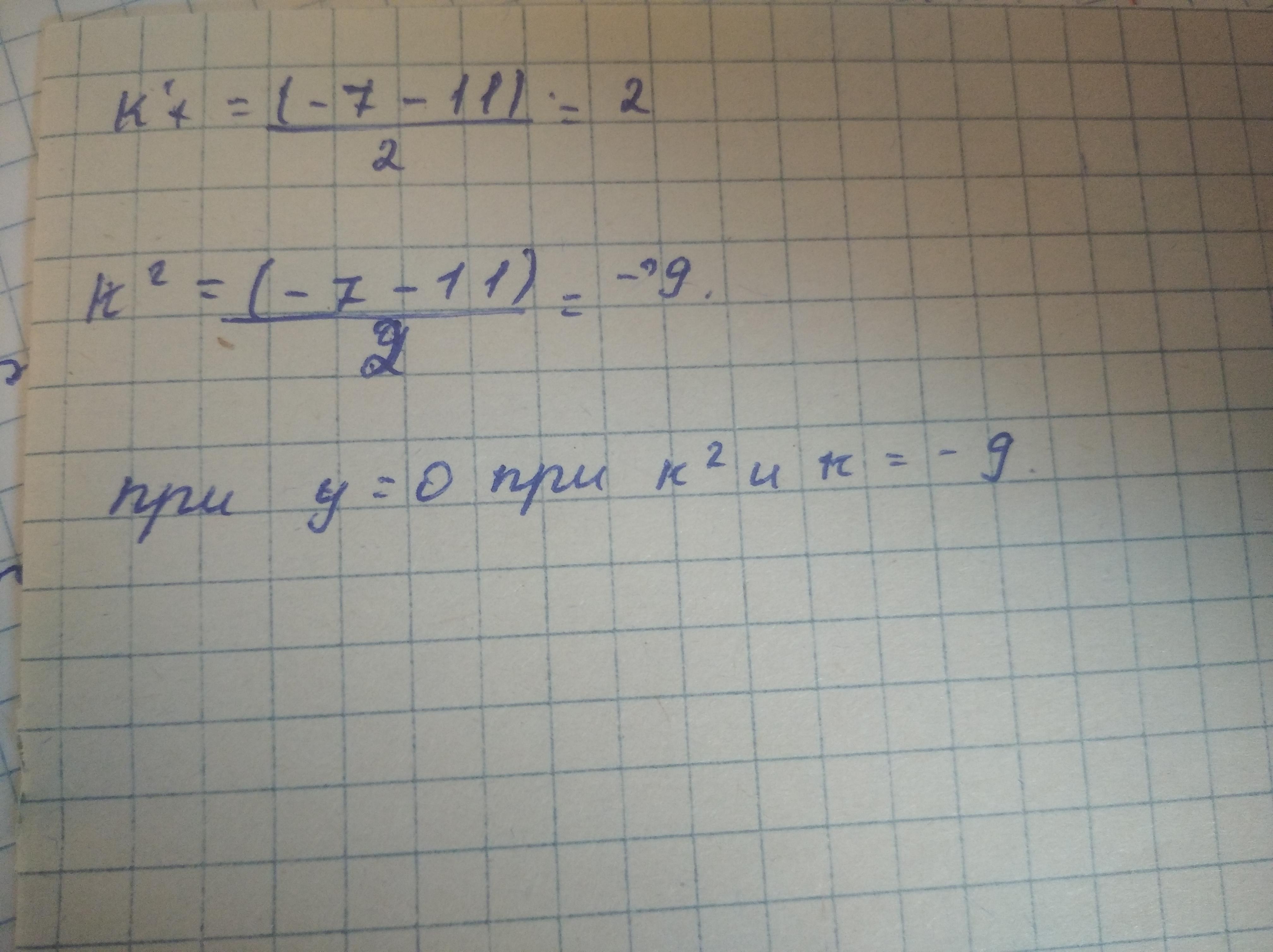
Дана функция: у = х2+7х-18
а) Найдите значения функции f (2), f (−1) .
b) Известно, что график функции проходит через точку ( k ; 0). Найдите
значение k.
TreezzyML:
А, геометрия бл
Ответы
Ответ дал:
2
Ответ:
Вот ответ
Объяснение:
Приложения:


Вас заинтересует
2 года назад
2 года назад
2 года назад
8 лет назад
9 лет назад