• Предмет: Алгебра
  • Автор: Аноним
  • Вопрос задан 10 лет назад

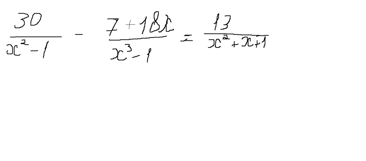
Решите дробно-рациональное уравнение! Найдите корни уравнения

Приложения:

Ответы

Ответ дал: Artem112
0
 frac{30}{x^2-1}- frac{7+18x}{x^3-1}= frac{13}{x^2+x+1} \ frac{30}{(x-1)(x+1)}- frac{7+18x}{(x-1)(x^2+x+1)}= frac{13}{x^2+x+1} \ x neq pm1 \ 30(x^2+x+1)-(7+18x)(x+1)=13(x^2-1) \ 30x^2+30x+30-7x-7-18x^2-18x=13x^2-13 \ x^2-5x-36=0 \ D=25+144=169 \ x_1=9 \ x_2=-4
Ответ: 9 и -4

Вас заинтересует