• Предмет: Информатика
  • Автор: danialmutali
  • Вопрос задан 3 года назад

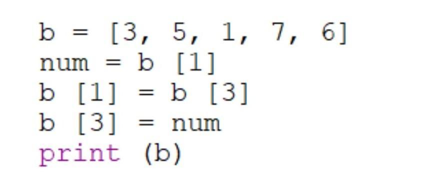
Укажите результат выполнения данного программного кода​

Приложения:

Ответы

Ответ дал: nikdissv
0

Ответ:

[3, 7, 1, 5, 6]

..........

Вас заинтересует