• Предмет: Информатика
  • Автор: danialmutali
  • Вопрос задан 3 года назад

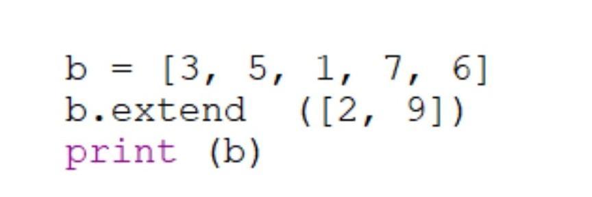
Укажите результат выполнения данного программного кода: 

Приложения:

Ответы

Ответ дал: merkkaa
0

Ответ:

[3, 5, 1, 7, 6, 2, 9]

Объяснение:

extend

добавляет элемент(ы) в конец.

extend принимает только 1  аргумент.

Вас заинтересует