• Предмет: Алгебра
  • Автор: neptuniumina
  • Вопрос задан 3 года назад

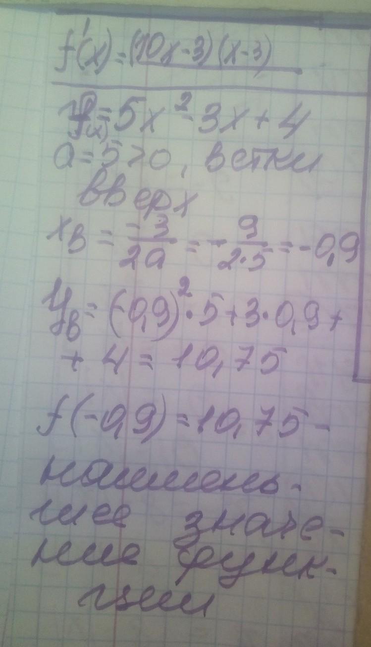
найдите наименьшее значение функции f(x)=5x²-3x+4 ​

Ответы

Ответ дал: manyny06
0

Ответ:

решение смотри на фотографии

Приложения:
Вас заинтересует