• Предмет: Математика
  • Автор: hruskovaana91
  • Вопрос задан 3 года назад

помогите решить пожалуйста





Надо найти значения выражение помогите

Приложения:

Ответы

Ответ дал: ildar502020
0

Ответ:  5.

Пошаговое объяснение:

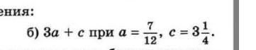
3a+с при a=7/12,  c=3 1/4;

3*7/12 + 3 1/4 = 21/12 + 3 1/4 = 7/4 + 3 1/4 = 1 3/4 + 3 1/4 = 4 (3+1)4 =

= 4 4/4 = 5.

Вас заинтересует