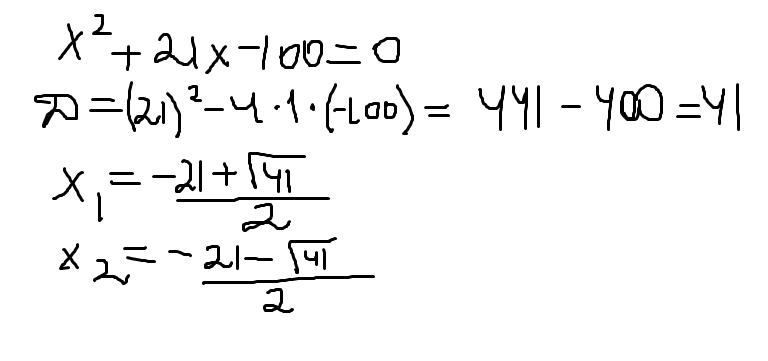
1) х(в четвертой степени) +21х (в квадрате) - 100 = 0
2) 4х ( в четвертой степени) + х ( в квадрате) -5 =0
Ответы
Ответ дал:
0
решаешь как квадратное уравнение
по-моему так
по-моему так
Приложения:


Вас заинтересует
2 года назад
8 лет назад
8 лет назад
10 лет назад
10 лет назад