Ответы
Ответ дал:
0
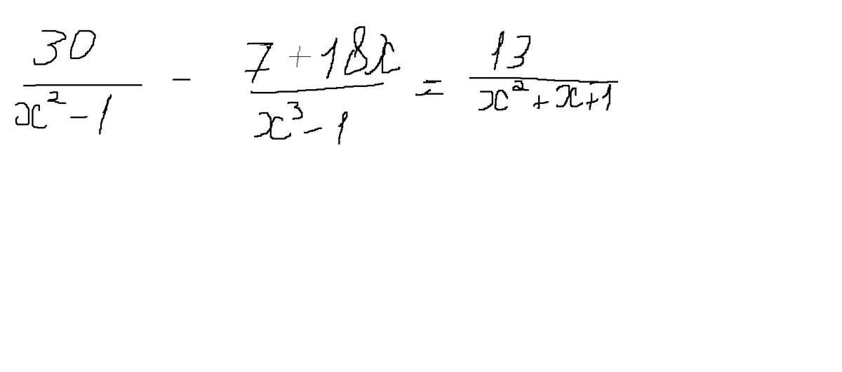
30/(x-1)(x+1) - 7/(x-1)(x^2+x+1) - 13/(x^2+x+1)=0
(30(x^2+x+1)-(x+1)(7+18x)-13(x-1)(x+1))/(x-1)(x+1)(x^2+x+1)=0
(30x^2+30x+30-7x-18x^2-7-18x-13x^2+13=0
-x^2-5x-36=0 при (x+1)(x^3-1)≠0, т.е. x≠1 и x≠-1
x^2-5x-36=0
D=25+4*36=169
x₁,₂=(5⁺₋√169)/2
x₁=9
x₂=-4
(30(x^2+x+1)-(x+1)(7+18x)-13(x-1)(x+1))/(x-1)(x+1)(x^2+x+1)=0
(30x^2+30x+30-7x-18x^2-7-18x-13x^2+13=0
-x^2-5x-36=0 при (x+1)(x^3-1)≠0, т.е. x≠1 и x≠-1
x^2-5x-36=0
D=25+4*36=169
x₁,₂=(5⁺₋√169)/2
x₁=9
x₂=-4
Ответ дал:
0
настаиваю на том, что ответ 9 и -4
Ответ дал:
0
:) Упс...Согласна! 5+13=18 18/2=9 :))))
Ответ дал:
0
Вас заинтересует
3 года назад
3 года назад
8 лет назад
8 лет назад
11 лет назад
11 лет назад
11 лет назад