• Предмет: Алгебра
  • Автор: Аноним
  • Вопрос задан 3 года назад

Heeeeeeeeeeeeeeeeelp​

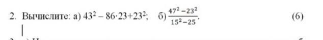
Приложения:

Ответы

Ответ дал: qweqwefifififi
2

Ответ:

Объяснение:

a)

43^2-86*23+23^2=43^2-2*43*23+23^2=(43-23)^2=20^2=400

b)

\frac{47^2-23^2}{15^2-25^2}=\frac{(47-23)(47+23)}{(15-25)(15+25)} =\frac{24*70}{-10*40} =\frac{24*(-7)}{40} =\frac{3*(-7)}{5} =-\frac{21}{5} =-4,2


Аноним: спасибо!
qweqwefifififi: пожалуйста)
Ответ дал: Liannella
1

Объяснение:

1)43²-86×23+23²

43²=1846

86×23=1978

23²=529

1849-1978+529

Ответ:400

47²-23²

2)15²-25

(47-23)×(47+23)

225-25

24+(47+23)

225-25

24+70

225-25

24×70

200

1680

200 (сокращаем)

42

5 (из неправильной дроби, переводим в смешаную)

5

8-

2

5

Ответ:8-

2

Вас заинтересует