• Предмет: Математика
  • Автор: ulia99115
  • Вопрос задан 3 года назад

помогите срочно даю 50 баллов ​

Приложения:

Ответы

Ответ дал: Warlock1
2

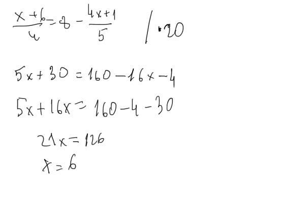
Ответ:

в приложении

Пошаговое объяснение:

Приложения:
Вас заинтересует