• Предмет: Математика
  • Автор: stafflohhh
  • Вопрос задан 3 года назад

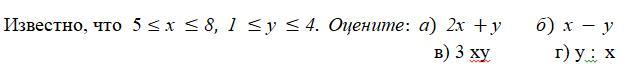
помогите даю 20 баллов

Приложения:

Ответы

Ответ дал: manyny06
1

Ответ:

решение смотри на фотографии

Приложения:
Вас заинтересует