• Предмет: Информатика
  • Автор: alibekovasabina936
  • Вопрос задан 3 года назад

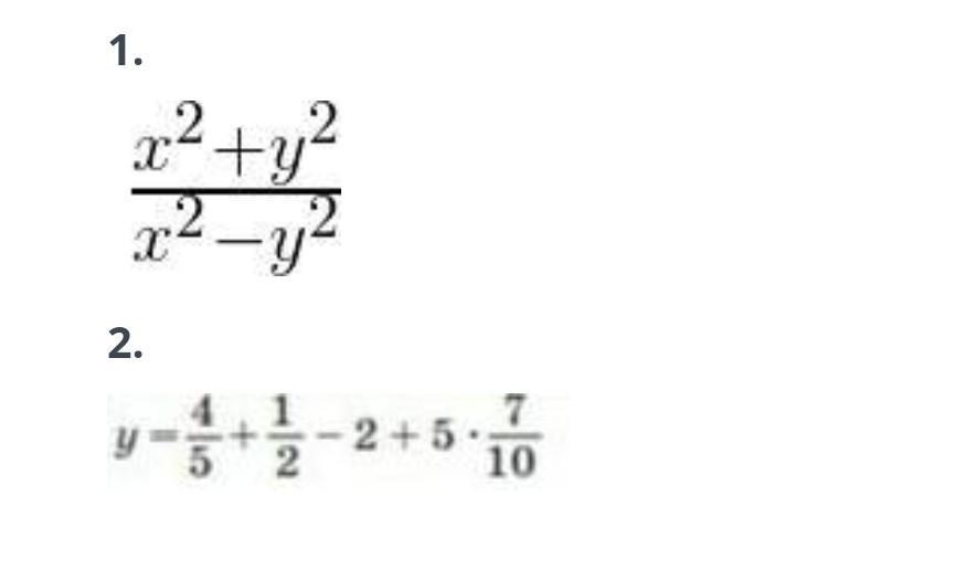
напишите на языке программирования следующие математические выражения​

Приложения:

valeron9814: на каком языке?
moonbornrc: питон
moonbornrc: УРААААААААА Я НАШЛА ВОПРОС С СОРА
moonbornrc: У меня есть одноклассница с таким же именем и фамилией, alibekovasabina936 :0
alibekovasabina936: опа
alibekovasabina936: а как тебя зовут?)
moonbornrc: Неь, подожди не будем раскрывать мою анонимность
Просто скажу что я из 6Д

Ответы

Ответ дал: wovarit558
2
1.

(x**2+y**2)/(x**2-y**2)

2.

y=(4/5)+(1/2)-2+5*(7/10)

moonbornrc: сяб
alibekovasabina936: чел спасибо ❤️
wovarit558: Не за что
Вас заинтересует