• Предмет: Математика
  • Автор: unikornmilana
  • Вопрос задан 3 года назад

Помогите пожалуйста!!! Если вы не знаете не пишите!! Математика ​

Приложения:

Ответы

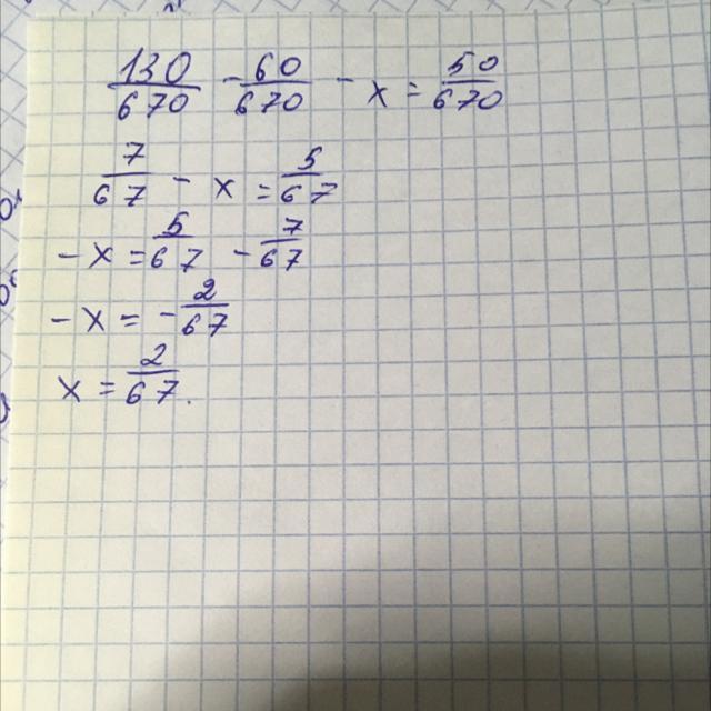
Ответ дал: sabimasi62
1
Ответ на фото) думаю правильно)
Приложения:

unikornmilana: помоги пж с моим новым вопросом? пожалуйста
sabimasi62: С каким?)
Вас заинтересует