• Предмет: Математика
  • Автор: 777665578
  • Вопрос задан 3 года назад

помогитеее прошууу мне срочно надо.. ​

Приложения:

ataisia14: ничего не видно

Ответы

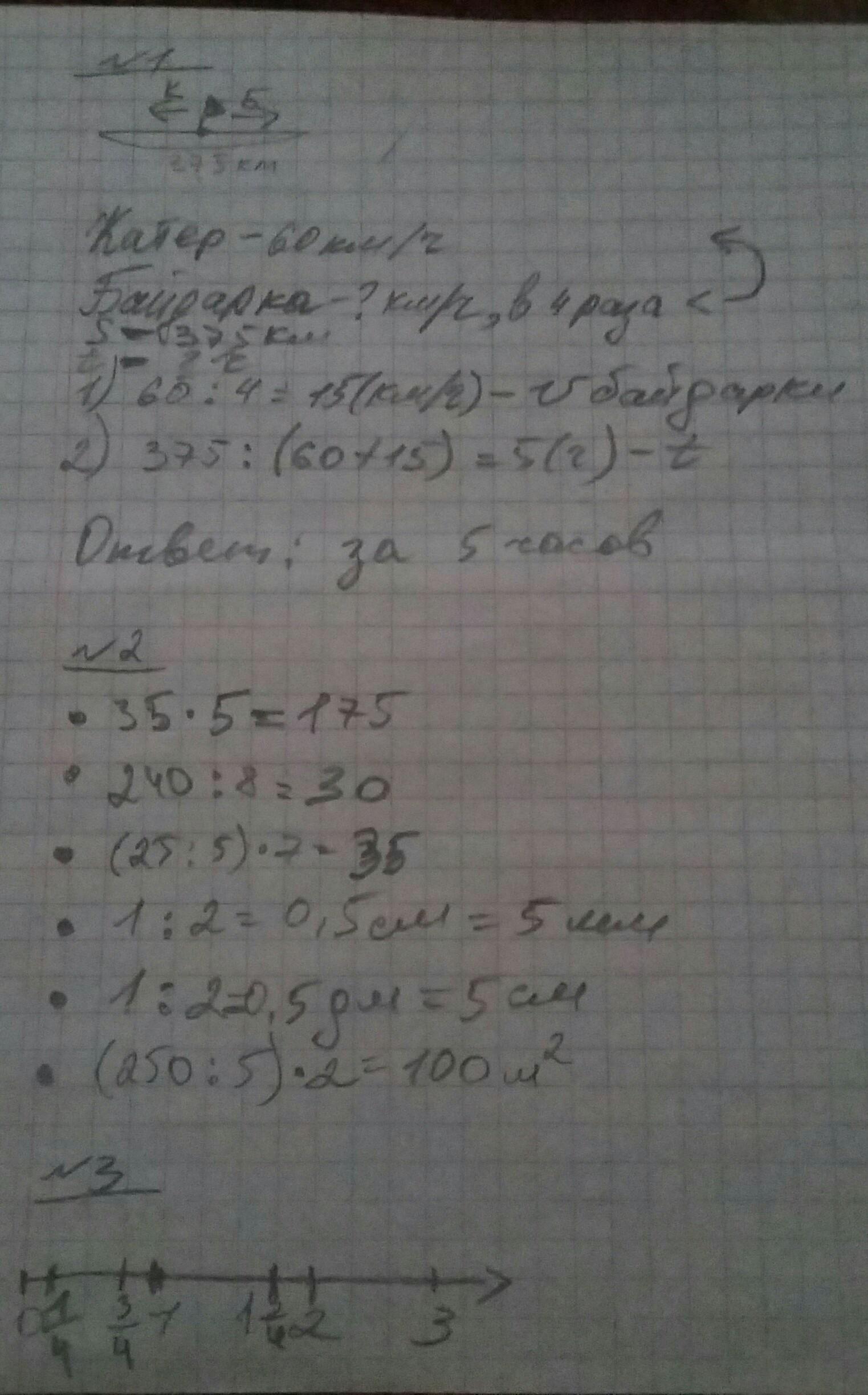
Ответ дал: rudnevaev15
2

сори за качество, камера плохая

Приложения:

777665578: ОАОАОА СПАСИБО БОЛЬШООЕ❤️❤️
Вас заинтересует