• Предмет: Математика
  • Автор: timurakimenko0
  • Вопрос задан 3 года назад

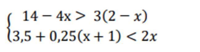
Найдите целые решения системы неравенств

Приложения:

Ответы

Ответ дал: lenchik52
1

Ответ:

скорее всего 2687301(3


timurakimenko0: А можно пря решение а ни сразу ответ
Вас заинтересует