• Предмет: Алгебра
  • Автор: dianazarkumbaeva64
  • Вопрос задан 3 года назад

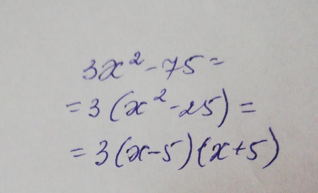
разложите множетели: 3х² -75
пожалуйстаааа срочно надо 10 баллов даю!!!​

Ответы

Ответ дал: serovaksusa1
1

Ответ:

Смотри решение на фото

Приложения:
Вас заинтересует