• Предмет: Геометрия
  • Автор: djpsyh00
  • Вопрос задан 3 года назад

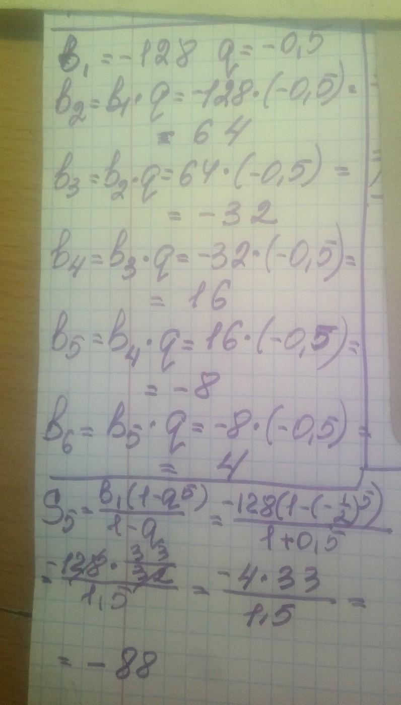
Вычисли первые пять членов геометрической прогрессии, если b1=−128 и q=−0,5.
даю 25 баллов

Приложения:

ildar502020: Нет данных о геометрической прогрессии...???
djpsyh00: есть

Ответы

Ответ дал: manyny06
1

Ответ:

решение смотри на фотографии

Приложения:
Вас заинтересует