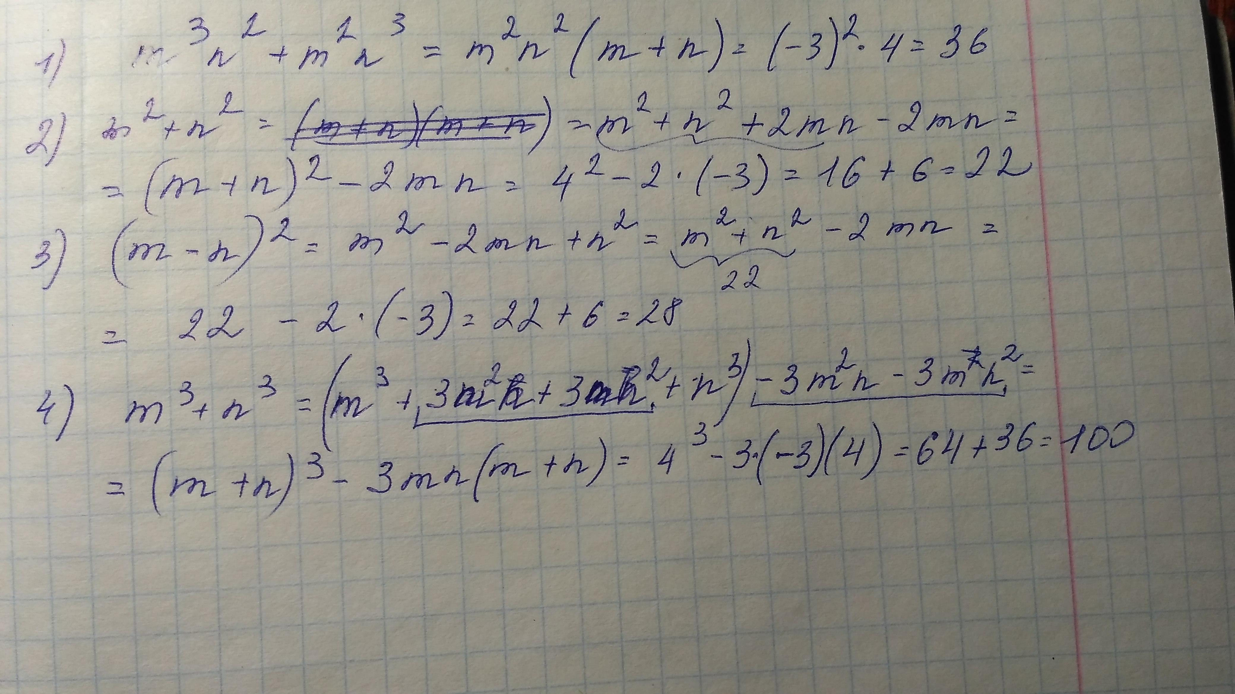
Помогите пожалуйста, 1.значение переменных m+n=4,mn= - 3
Найдите значение каждого выражения:
1) m³n²+m²n³
2) m²+n²
3)(m-n)²
4) m³+n³
2.Уравнения:
3x (3x-1)²- (2+3x) (4-6x+9x²)=10+3x
здесь нужен только ответ:)
sikalo:
2. уравнение корней не имеет
Ответы
Ответ дал:
1
Ответ:
простите за почерк
Объяснение:
Приложения:

Вас заинтересует
2 года назад
2 года назад
2 года назад
2 года назад
8 лет назад
8 лет назад
9 лет назад