• Предмет: Математика
  • Автор: aerasyk
  • Вопрос задан 3 года назад

Решите неравенства
Срочно срочно срочно

Приложения:

aerasyk: Пажалуйста решите срочно

Ответы

Ответ дал: JidkiyMetaLL
3

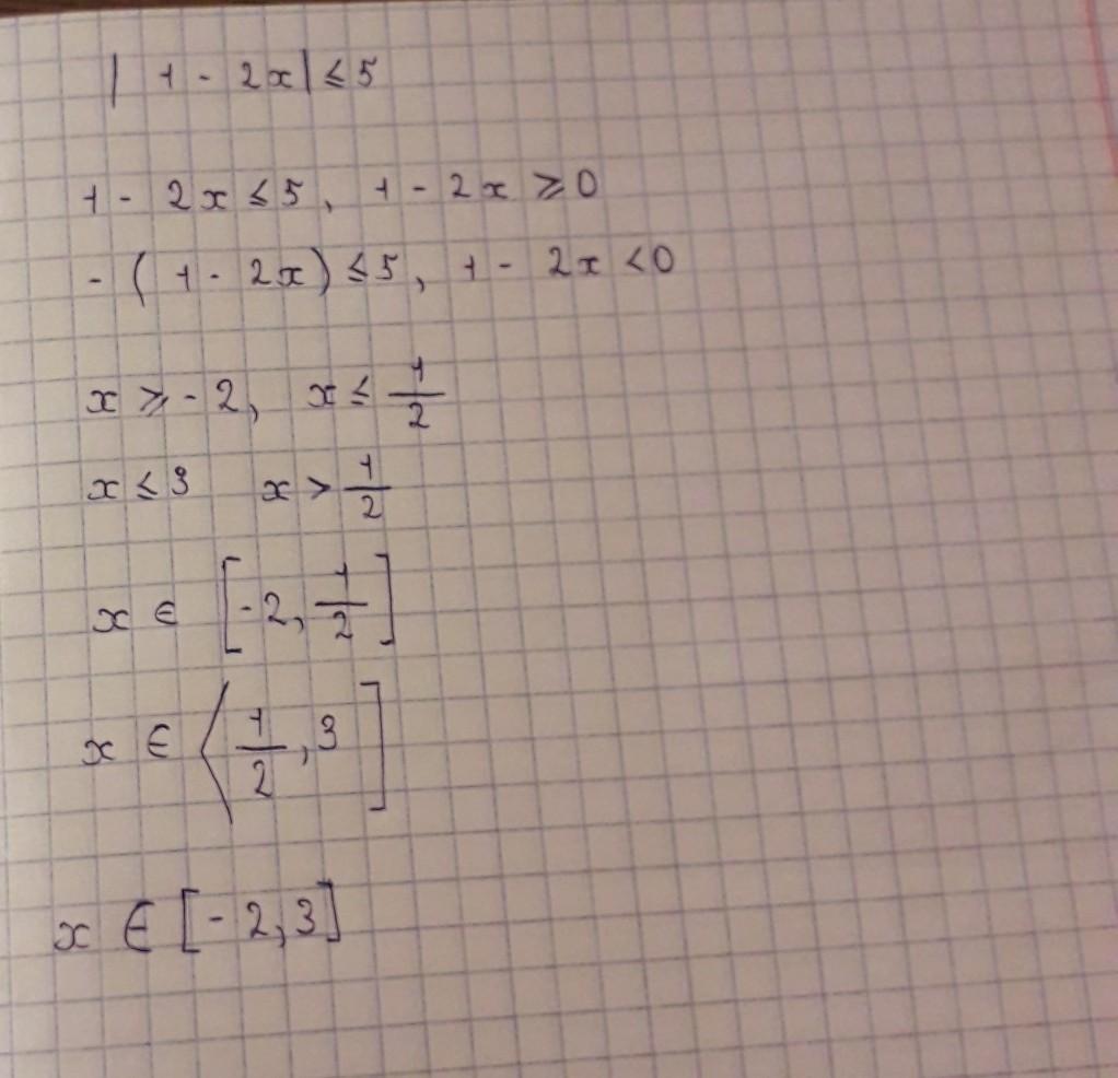
Решено система неравенств

.....................

Приложения:
Ответ дал: pushpull
2

Ответ:

Пошаговое объяснение:

\displaystyle \left \{ {{1-2x \leq 5} \atop {1-2x\geq -5}} \right. \left \{ {{-2x\leq 4} \atop {-2x\geq -6}} \right. \left \{ {{-x\leq 2} \atop {-x\geq -3}} \right. \left \{ {{x\geq -2} \atop {x\leq3 }} \right. \Rightarrow -2 \leq x\leq 3


JidkiyMetaLL: всегда Спасибо
pushpull: пожалуйста -))
Вас заинтересует