Ответы
Ответ дал:
1
Відповідь:
Покрокове пояснення:
Приложения:

lslsanavynnyk:
дякую
Ответ дал:
1
Ответ:
Пошаговое объяснение:
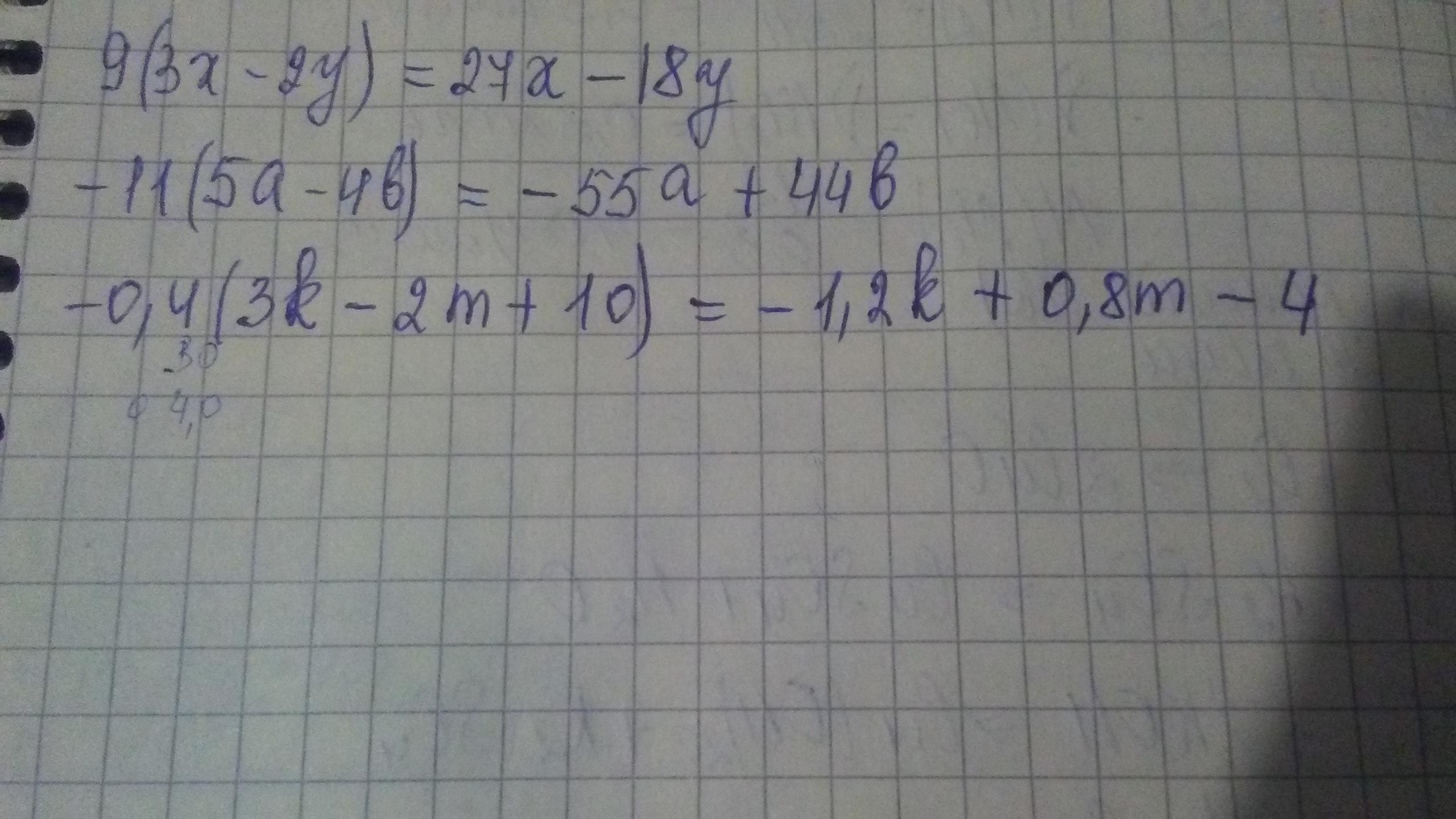
А) 9(3х-2у)=27х-18у
Б)-11(5а-4б)=-55а+44б
В)-0,4(3к-2м+10)=-1,2к+0,8м-4
Вас заинтересует
2 года назад
2 года назад
8 лет назад
8 лет назад