• Предмет: Алгебра
  • Автор: maksimkapitan71
  • Вопрос задан 3 года назад

послідовність -16;-13...є арифметичною прогресією.Знайдіть суму її перших десяти членів​

Ответы

Ответ дал: 68tata
3

Відповідь:

-25

Пояснення:

а₁=-16

а₂=-13

a₂=a₁+d  → d= -13-(-16)=3

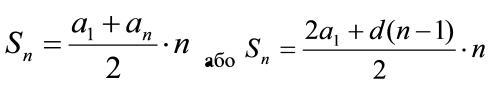
по формулі в файлі

S_{10}=\frac{2*(-16)+3(10-1)}{2}*10=(-32+27)*5= -25

Приложения:
Вас заинтересует