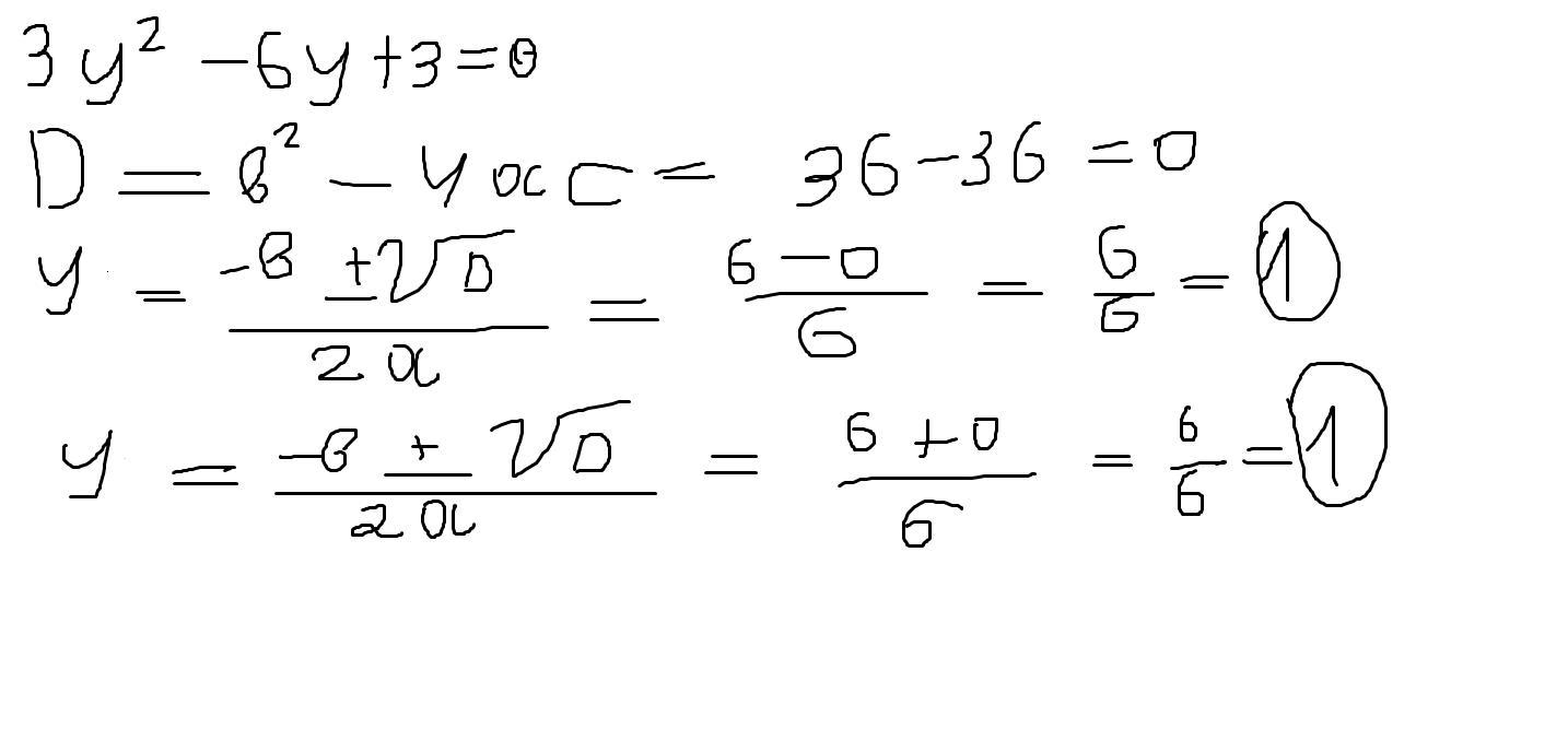
а) Найдите корни квадратного уравнения 3y ^ 2-6y + 3 = 0
б) Какие значения k имеют два одинаковых корня (x₁ = x₂) в уравнении kx ^ 2 + 6x + k = 0?
rainnyy:
Помогите пожалуйста
Ответы
Ответ дал:
1
Решаем через Дискриминант то что обведено это корни
Приложения:

Вас заинтересует
2 года назад
2 года назад
2 года назад
2 года назад
8 лет назад
8 лет назад
9 лет назад