Ответы
Ответ дал:
1
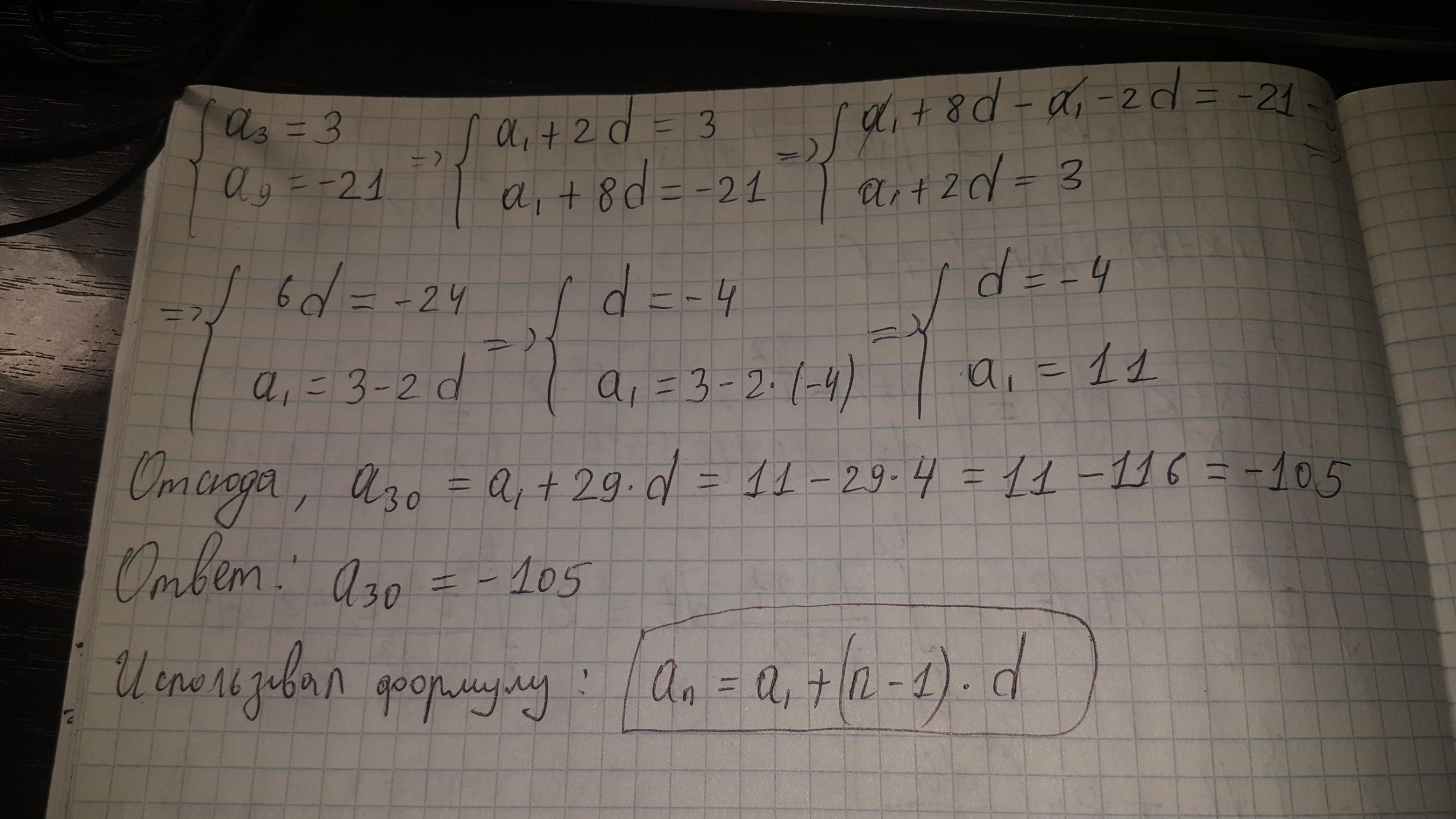
Ответ:
a30=-105
Объяснение:
Приложения:

Вас заинтересует
2 года назад
2 года назад
8 лет назад
8 лет назад