• Предмет: Алгебра
  • Автор: kzbeka222888
  • Вопрос задан 3 года назад

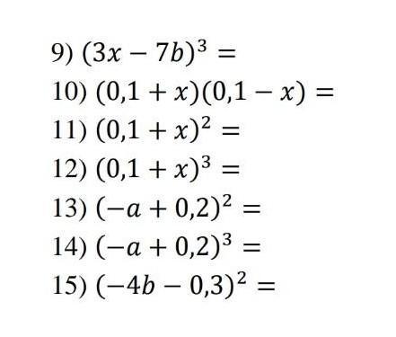
помогите алгебре нужно 10 и 12 и 14​

Приложения:

kzbeka222888: 3 примера сложно?

Ответы

Ответ дал: jusant
2

Объяснение:

(0.1 + x)(0.1 - x) = 0.1 {}^{2}  - x {}^{2}  = ( \frac{1}{10}) {}^{2}  -  x {}^{2} \\  \\ (0.1 + x

прости только 10 смог хотябы лайк поставь

Вас заинтересует