хелп !!! плизззз.......
Приложения:

shahinatakhirova23:
что делаешь?
Ответы
Ответ дал:
1
Ответ:
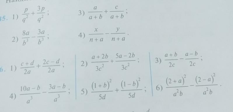
№15 1) p/p²+3p/p²=4p/p²=4/p
2)8a/b³-3a/b³=5a/b³
3)a/(a+b)+c/(a+b)=(a+c)/(a+b)
4) x/(n+a)-y/(n+a)=(x-y)/(n+a)
№16
1) (c+d)/2a+(2c-d)/2a=3c/2a
2)(a+2b)/3c²+(5a-2b)/2c²=6a/3c²=2a/c²
3 4 аналогично
5)(1+b)²/5d+(1-b)²/5d=(1+2b+b²+1-2b+b²)/5d=(2+2b²)/5d
6)(2+a)²/a²b-(2-a)²/a²b=(4+4a+a²-(4-4a+a²))/a²b=8a/a²b=8/ab
Вас заинтересует
2 года назад
2 года назад
2 года назад
8 лет назад
8 лет назад
9 лет назад