Ответы
Ответ дал:
1
Ответ:
Объяснение:
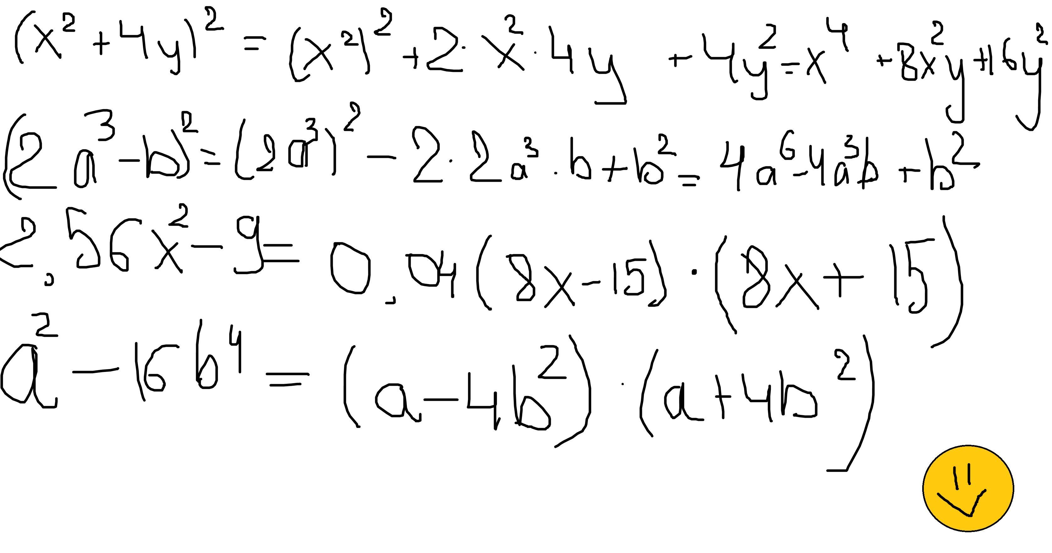
на фото
Приложения:

iv5700371:
толька рай еди
Вас заинтересует
2 года назад
2 года назад
8 лет назад
9 лет назад