• Предмет: Алгебра
  • Автор: nozhniciitachi2
  • Вопрос задан 3 года назад

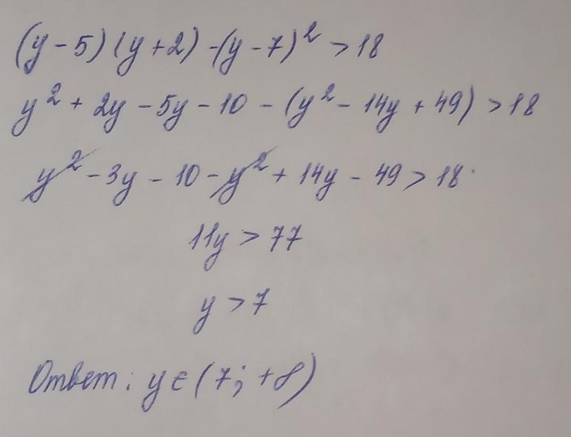
решите неравенство:(у-5)(у+2)-(у-7)²>18​

Ответы

Ответ дал: gavgav3445
2

Ответ:

Решение прикреплено. Надеюсь, что всё понятно.

Приложения:
Ответ дал: vasilaxon96
2

Ответ:

(y-5)(y+2)-(y-7)²>18

y²-5y+2y-10-(y²-14y-49)>18

y²-3y-10-y²+14y+49>18

11y>-18

y>-18/11

Вас заинтересует