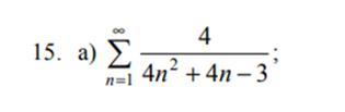
Найти сумму числового ряда... на языке С++
Приложения:

cyroil31:
В любом случае выведет -1
Ответы
Ответ дал:
1
#include <iostream>
using namespace std;
int main(){
long n=1;
float s=0;
for (n;n<10000000;n++){
s+=4/(4*n*n+4*n-3);
}
cout<<s;
return 0;
}
using namespace std;
int main(){
double s=0; double n=1;
for (n;n<100000000;n++){
s=s+1/(4*n*n+4*n-3);
}
cout<<4*s;
return 0;
}
Вас заинтересует
2 года назад
2 года назад
8 лет назад