• Предмет: Математика
  • Автор: katalinastarikova54
  • Вопрос задан 3 года назад

сделайте срочно пожалуйста ​

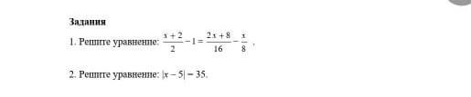
Приложения:

Ответы

Ответ дал: dastanulyaziz
0

8X+16-16=2X+8-2X

8X-2X+2X=-16+16+8

8X=8

X=1

X-5=35

X=40

X+5=35

X=30

Вас заинтересует