• Предмет: Математика
  • Автор: Аноним
  • Вопрос задан 3 года назад

Пж дам 10 баллов срочно
Решите уровнение
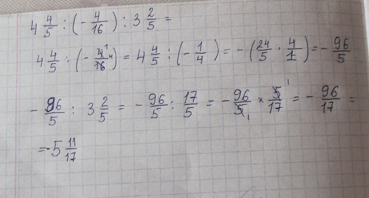
4 4/5:(-4/16): 3 2/5


Аноним: Пж можно по действиям
tatsach: Это не уравнение

Ответы

Ответ дал: tatsach
0

Ответ:

Пошаговое объяснение:

4 4/5:(-4/16)=24/5*(-16/4)=-96/5

-96/5: 3 2/5=-96/5*5/17=96/17=

5 11/17

Ответ дал: chebotar19818
0

Ответ:

Сверху сами допишите ответ

Приложения:
Вас заинтересует