• Предмет: Алгебра
  • Автор: romaska202050
  • Вопрос задан 3 года назад

Помогите пожалуйста с ответом​

Приложения:

Ответы

Ответ дал: ildar502020
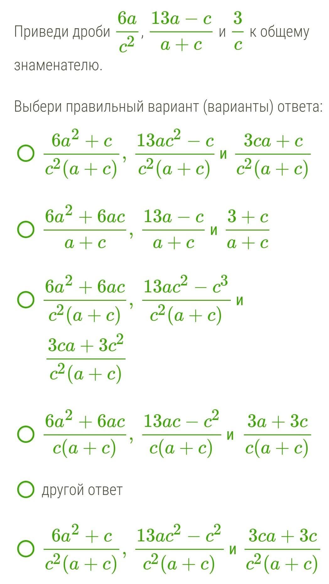
1

Ответ:  Третий кружочек:

(6а²+6ас)/ с²(а+с).

(13ас²-с³) /с²(а+с).

(3ас+3с²)/с²(а+с).

Объяснение:

6a/c²;  

13a-c)/(a+c);

3/c.

Привести к общему знаменателю.

Решение.

1 знаменатель с²;

2 знаменатель (а+с);

3 знаменатель c.

----------------

Общим для них будет   с²(а+с).

Дополнительный множитель

для первой дроби (а+с);

для второй - с²;

для третьей - с(а+с).

------------

Тогда  

первая дробь будет: 6а(а+с)/ с²(а+с) = (6а²+6ас)/ с²(а+с).

Вторая дробь  - с²(13а-с)/с²(а+с) = (13ас²-с³) /с²(а+с).

Третья дробь  -  3с(а+с)/с²(а+с)=(3ас+3с²)/с²(а+с).

Вас заинтересует