Ответы
Ответ дал:
2
Ответ:
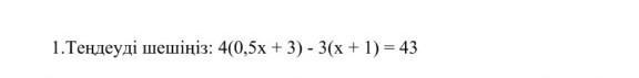
2х+12-3х-3=43
-х+9=43
-х=34
Х=-34
omargaligulzira10:
СПС
Ответ дал:
1
х=-34
))(((((((()()()())))()((
Приложения:

Вас заинтересует
2 года назад
2 года назад
2 года назад
8 лет назад