Срочно нужно! Помогите с алгеброй!
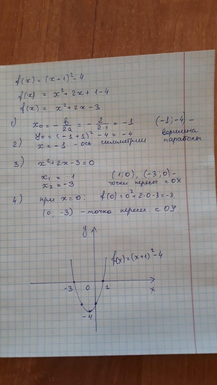
Для заданной функции f(x) = (x + 1)² - 4;
a) определить вершину параболы;
b) найти ось симметрии параболы;
c) найти точку пересечения с осью ОУ;
d) найти точку пересечения с осью оу;
e) нарисовать эскиз графика функции
Приложения:

Jannur05:
Заранее благодарю, до 15:30 помогите пожалуйста..
Ответы
Ответ дал:
2
Ответ:
Смотри фото
Объяснение:
Приложения:

Вас заинтересует
2 года назад
2 года назад
8 лет назад
8 лет назад
9 лет назад