• Предмет: Алгебра
  • Автор: nikitabogoslov7
  • Вопрос задан 3 года назад

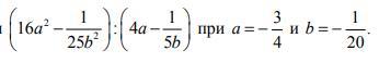
Помогите с алгеброй) ответ должен получится -7

Приложения:

Ответы

Ответ дал: ildar502020
1

Ответ: -7.

Объяснение:

(4a-1/5b)(4a+1/5b):(4a-1/5b) = 4a+1/5b;

при a=-3/4 и b =-1/2 выражение равно:

4(-3/4) + 1/(5(-1/20)) = -3 -4 = -7.

Вас заинтересует