Ответы
Ответ дал:
1
Ответ:
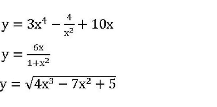
решение смотри на фотографии
Приложения:



selfcare39:
Здравствуйте, помогите пожалуйста с алгеброй, задание у меня в профиле! отмечу 5 звёзд и сделаю лучший ответ!
Вас заинтересует
2 года назад
2 года назад
2 года назад
2 года назад
8 лет назад
9 лет назад