АЛГЕБРА 11 КЛАСС
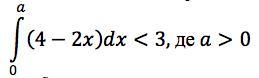
При яких значеннях "a" виконується нерівність:
Приложения:

Аноним:
автора книги пожалуйста
Ответы
Ответ дал:
2
Ответ:
Объяснение:
интеграл=
а
=(4x-2x²/2)=
0
а
=(4x-x²)=
0
=4a-a²<3
a(4-a)<3
a=0 ; a=4
-----------------0--------------4-------->
- + -
a∈(0;4)
Вас заинтересует
2 года назад
2 года назад
2 года назад
2 года назад
8 лет назад
9 лет назад