пж сроооочно надо
Вычислите значение выражения:
Приложения:

NoNameee34:
можете подробно расписать все действия
Ответы
Ответ дал:
0
Ответ:
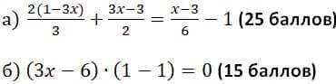
а) (2(1-3х))/3+(3х-3)/2=(х-3)/6-1
(2*2(1-3х))/6+3(3х-3)/6=(х-3)/6-1*6
(4-12х)/6+(9х-9)/6=(х-3)/6-6
4-12х+9х-9=х-3-6
-12х+9х-х=-4+9-9
-4х=-4
х=1
б) (3х-6)*(1-1)=0
(3х-6)*0=0
0=0
Объяснение:
Вас заинтересует
2 года назад
2 года назад
8 лет назад
9 лет назад