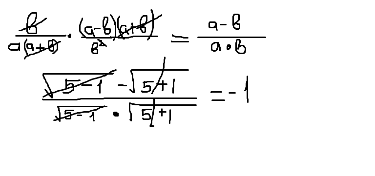
Упростите выражение(картинка во вложении)и найдите его значение при а=корень 5-1;b=корень 5+1
Приложения:

Ответы
Ответ дал:
0
по моему так..........
Приложения:

Вас заинтересует
2 года назад
2 года назад
8 лет назад
10 лет назад
10 лет назад
10 лет назад
10 лет назад