• Предмет: Алгебра
  • Автор: trunovk045
  • Вопрос задан 3 года назад

Помогите!!!!!!!!!!! ​

Приложения:

Ответы

Ответ дал: ptrqww
1

Ответ:

минимальное значение: 6, при х=2; у=-3

Объяснение:

выделяешь два полных квадрата; т.к. квадраты отрицательными быть не могут, то находишь, когда они зануляются (имеют минимальное значение) и смотришь на оставшееся число - это и будет минимальное значение выражения.

Приложения:
Ответ дал: русланастамиров
1

Ответ:

6

Объяснение:

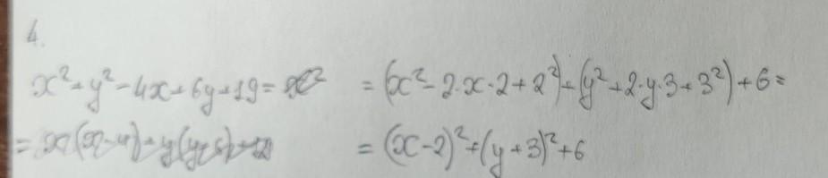
Выделим полные квадраты x²-4x+4-4+y²+6y+9-9+19

Подробнее разберем что мы  сделали

Мы сгруппировали иксы и игрики, и представили следующее, пусть существует такое выражение как (x-a)², что оно равно x^2+4x+a^2.

Что же такое а? Вспомним формулу 4х - удвоенное произведение первого х на а, т.е. 4x=2*x*a, следовательно а=2, а значит допишем а квадрат, т.е. 4. Но у нас этого квадрата не было, а значит мы должны его вычесть. то же самое проделаем с игриком (y+b)²=y²+6y+b^2

6y=2*b*y,b=3. т.к. 9 не было вычтем ее.

получим (x-2)²+(y+3)²+6.

Оценим это выражение. Оно состоит из двух квадратов и числа, наимньшее значение квадратов - 0, 0+0+6=6. Отсюда наименьшее значение данного выражения 6

Вас заинтересует