• Предмет: Алгебра
  • Автор: cheedghurrdd
  • Вопрос задан 3 года назад

пожалуйста срочно помогите решить

Приложения:

Ответы

Ответ дал: Dimasik106
0

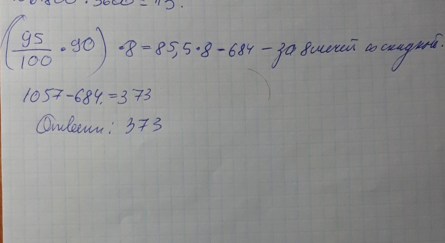
Ответ: 373 золотых

Объяснение:

1) 1057-(95*0,9*8)=373

Ответ дал: regina2324
1

Ответ:

если тебе понравился мой ответ,то оцени его пожалуйста!)❤

Приложения:
Вас заинтересует