• Предмет: Математика
  • Автор: kospifadro
  • Вопрос задан 3 года назад

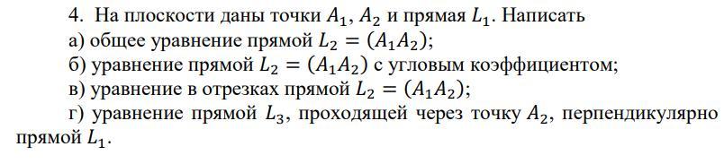
помогите пожалуйста мальчику который не может решить это даже с помощью примера...
даю 35 баллов плиз :)
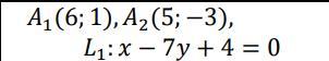
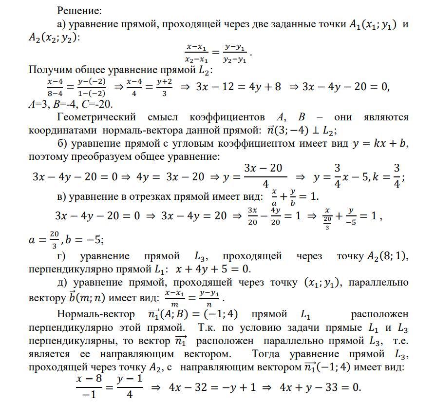
пример решения в 3 скрине

Приложения:

Ответы

Ответ дал: sahnov5352
0

Ответ:

Пошаговое объяснение:

Они идут парой. Это значит, что для их пары не 8 вариантов расположения, а 7. Также может идти сначала первый, а потом второй(и наоборот). Поэтому надо умножить на 2. А остальные 6 человек можно расположить в произвольном порядке. Получается 6! способов. Теперь всё перемножаем

2 * 7 * (6!) = 2 * (7!) = 2 * 5040 = 10080 способов

Вас заинтересует