Яблоко подвешено на вертикальной нити, образуя простой маятник. Яблоко отклоняют в сторону, а затем отпускают. Оно совершает 10 колебаний за 12 секунды. Найдите длину нити. ПОМОГИТЕ ПЖЖ
Ответы
Ответ дал:
7
Ответ:
Объяснение:
Решение
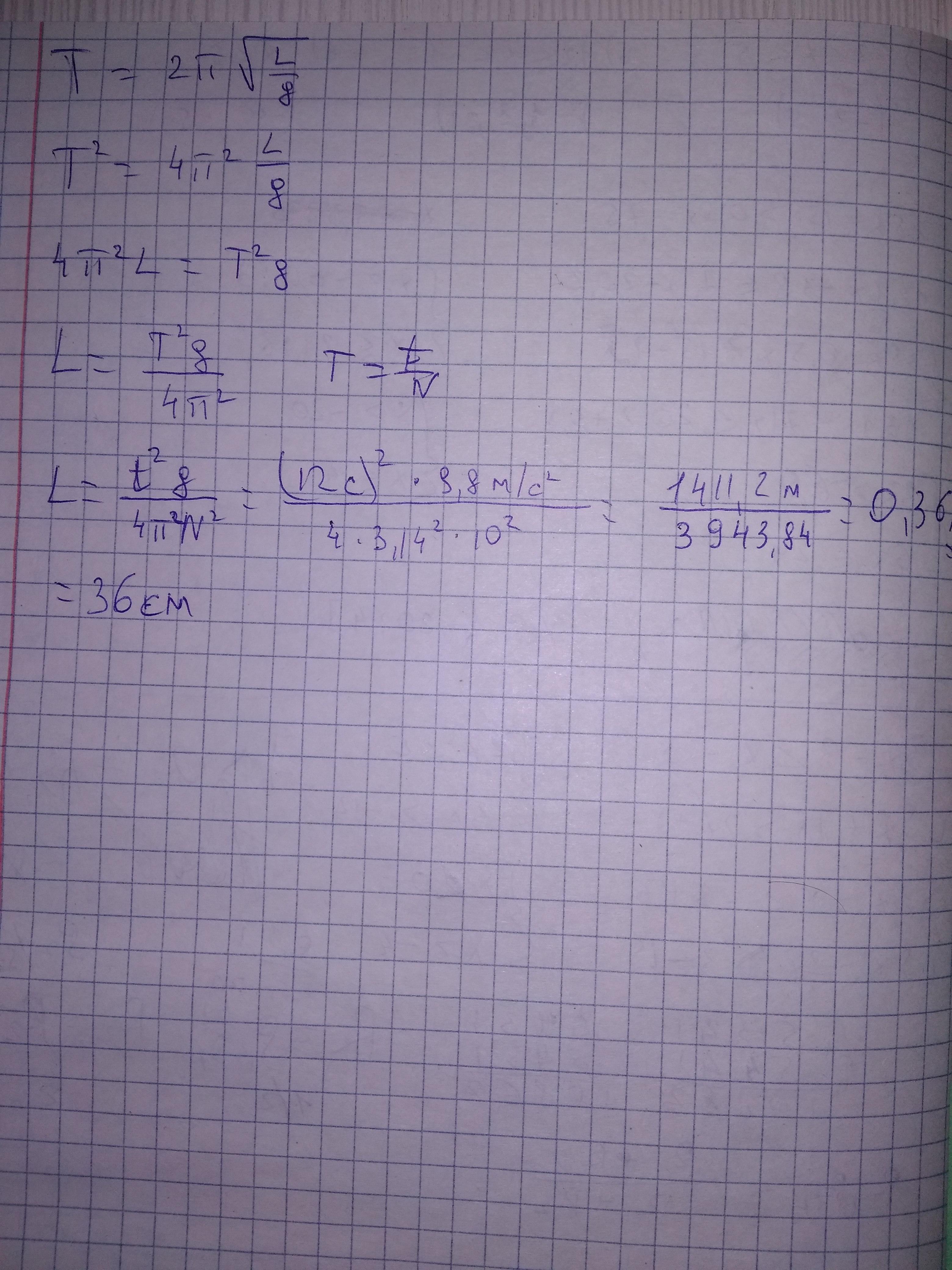
Приложения:

ilya282o:
спасибо огромное
Ответ дал:
4
Мы можем пользоваться знаниями не о простом, а математическом маятнике. Нить длинная, нерастяжимая, шарик маленький и тяжелый. Угол отклонения от вертикали оч. маленький. В школе при длине нити 1,2 м (штатив на столе) амплитуда колебаний 8-10 см.
_______________________________________________
Тогда период (время одного полного колебания)
Т=2π√(L/g)
Найдем Т. Т=t/n=12/10=1,2 c
1,2=2*π*√(L/10)
0,6=π√(L/10)
0,6²=π²*L/10 π²≈10
L=0,6²
L=0,36 м=36 см.
Это ответ.
Вас заинтересует
2 года назад
2 года назад
2 года назад
2 года назад
8 лет назад
9 лет назад
9 лет назад