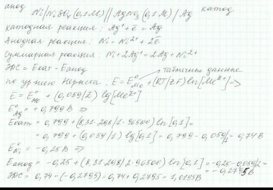
2. По уравнению токообразующей реакции составьте схему гальванического элемента
Ni + HgCl2= Ni Cl2 + Hg
(Значения электродных потенциалов Е0Ni 2+/Ni0= -0, 25В, Е0Hg 2+/Hg0= +0,85В) :
a) Составьте схему гальванического элемента [ 1 балл]
b) Напишите уравнения анодного и катодного процессов [ 2 балла]
c) Рассчитайте стандартную ЭДС [1балл]
Ответы
Ответ дал:
0
Объяснение:
вот бро держи надеюсь помог)
Приложения:

gromicer:
Бро, спасибо тебе огромное, реально выручил !
Вас заинтересует
2 года назад
2 года назад
2 года назад
8 лет назад
8 лет назад
9 лет назад