• Предмет: Информатика
  • Автор: 2SAnastasiAS2
  • Вопрос задан 3 года назад

написать программу в python

Приложения:

Ответы

Ответ дал: bilanovfatim
1

Ответ:

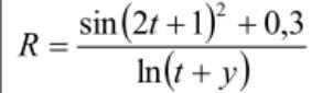
import math as m

t, y = map(float, input().split())

R = (m.sin((2*t+1)**2) + 3)/(m.log10(t+y))

print(R)

Объяснение:

Вас заинтересует