• Предмет: Математика
  • Автор: qwerty207747
  • Вопрос задан 3 года назад

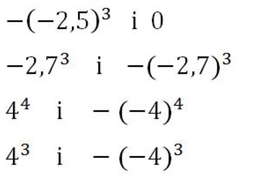
порівняйте не обчислюючи
1)-(-2,5)³ і 0
2)2,7³ і -(-2,7)³
3)4⁴ і -(-4)⁴
4)4³ і -(-4)³​

Приложения:

Ответы

Ответ дал: Amigo3
2

Ответ: 1)-(-2,5)³=2,5³> 0

2)2,7³ = -(-2,7)³

3)4⁴ > -(-4)⁴=-(4⁴)

4)4³ = -(-4)³​

Пошаговое объяснение:

Вас заинтересует